近日,贝博官网理学院青年教师周利玲博士在纳米结构电子输运研究方面取得进展,其研究成果“Antiresonance in the spin current through a quantum dot induced by electron-phonon interaction”在国际著名学术期刊《Physical ReviewB》上发表。周利玲博士已连续两次以第一作者和通讯作者,BB贝博艾弗森官方网站为第一署名单位在该期刊发表研究论文。
《Phys.Rev.B》是美国物理学会(American Physical Society)主办的物理学术期刊之一,主要刊登凝聚态物理领域高水平前沿学术成果,在国际物理学界享有高度学术声誉,是自然指数(Nature Index)收录的全球82个顶级期刊之一。
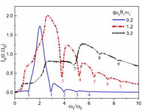
纳米结的一个重要特性是对定域分子振动(即声子)反应敏感,大多数纳米电子器件运行过程中电声耦合效应显著。费米子-玻色子相互作用是多粒子物理学基石之一。因此,对固体中电声相互作用的研究具有重要理论和实践意义。利用非平衡格林函数方法探索电声相互作用对暴露于射频场下的量子点自旋流影响,发现自旋流在拉比频率为声子频率整数倍处出现反共振现象,此现象表明不同自旋通道的电子波间产生了相消干涉。周利玲博士的研究成果可为改善纳米电子器件设计提供有价值参考,促进现代集成电路进一步微型化。


图1自旋流反共振现象 图2电声相互作用强度对自旋流反共振现象的影响
本研究工作得到国家自然科学基金项目(11764023)的资助。
个人简介:周利玲,女,1979年5月生,中共党员,理学博士,教授,2009年6月毕业于中国科学院半导体研究所。2014年入选江西省新世纪百千万人才工程,九江市科协系统先进工作者,理学院“省一流”本科专业建设点负责人,微纳材料科研团队带头人。

论文链接:https://journals.aps.org/prb/abstract/10.1103/PhysRevB.102.045422
责任编辑:江环